- Posts: 1
- Thank you received: 0
Ask the community, share ideas, and connect with other LimeSurvey users!
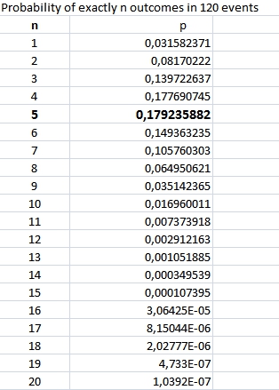
This seems to be working fine when testing qualitatively. However, when conducting the study with 120 participants (where we would expect 5 participants per condition approximately), we end up with 10 participants in one condition, and only 2 in another condition. I am aware that rand(1,24) will calculate a pseudorandom number, and that slight differences in sample size per condition are possible, but this large discrepancy between 2 and 10 (rather than numbers closer to 5) is surprising and problematic for our study setup. I now tested the survey with 60 more answers, where the groups were unequally distributed again, with some conditions never being assigned to a participant. We are worried that the problem might persist even with larger sample sizes. What could be the problem? How could we try to fix this?{if(is_empty(random),rand(1,24),random)}

